Touring Club Schweiz/Suisse/Svizzero - TCS
30 bis 39-Jährige sterben am häufigsten bei alkoholbedingten Verkehrsunfällen
Vernier/Ostermundigen (ots)
Im Jahr 2024 starben 33 Personen bei alkoholbedingten Verkehrsunfällen in der Schweiz, was eine Zunahme von 32 Prozent gegenüber dem Vorjahr entspricht. Fast ein Drittel dieser Tragödien geschah in der Altersgruppe 30 bis 39 Jahre. Gemessen an der Bevölkerung ereigneten sich besonders viele schwere alkoholbedingte Unfälle im Kanton Glarus. In absoluten Zahlen verzeichnete der Kanton Waadt die meisten tödlichen Unfälle. Mit Blick auf die bevorstehenden Feiertage ruft der TCS in Erinnerung: Wer trinkt, fährt nicht.
Im Jahr 2024 kam es auf Schweizer Strassen zu mehr tödlichen Unfällen, bei denen Alkohol im Spiel war. 33 Todesopfer bedeuten eine Zunahme von 32 Prozent gegenüber dem Jahr 2023. Die Altersgruppe der 30 bis 39-Jährigen war mit neun tödlichen Unfällen am stärksten vertreten, gefolgt von Personen zwischen 50 und 59 Jahren mit acht Unfällen. Die Altersgruppen 20 bis 29 Jahre, 40 bis 49 Jahre und 60 Jahre plus verzeichneten jeweils fünf tödliche Unfälle, während die unter 20-Jährigen nur für einen einzigen alkoholbedingten Todesfall verantwortlich waren. "Mit Blick auf die Festtage sollten wir daran denken, dass ein gelungenes Fest sicher endet. Wenn Sie Alkohol konsumieren, lassen Sie das Auto stehen und planen Sie eine sichere Rückkehr, zum Beispiel mit einem nüchternen Fahrer, öffentlichen Verkehrsmitteln oder Nez Rouge", erinnert Christophe Nydegger, Leiter Verkehrssicherheit beim TCS.
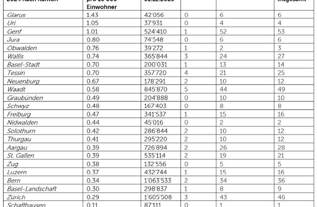
Glarus verdrängt Genf
Im Jahr 2024 verzeichnete der Kanton Glarus den höchsten Anteil schwerer alkoholbedingter Unfälle mit 1,43 Unfällen pro 10'000 Einwohner, gegenüber 0,48 im Vorjahr. Uri folgt mit 1,05 schweren Unfällen pro 10'000 Einwohner, ein Anstieg gegenüber 0,54 im Jahr 2023. Diese Veränderungen lassen sich insbesondere durch die geringe Bevölkerungszahl in diesen Kantonen erklären, bei der ein zusätzlicher Unfall die Statistik stark beeinflusst.
Genf, sieben Jahre in Folge Spitzenreiter, folgt mit 1,01 schweren Unfällen pro 10'000 Einwohner. Diese Zahl ist im Vergleich zum nationalen Durchschnitt von 0,47 weiterhin hoch.
Direkt hinter Genf folgen Jura (0,80), Obwalden (0,76), Wallis (0,74), Basel-Stadt (0,70), Tessin (0,70), Neuenburg (0,67) und Waadt (0,58). Im Vergleich zu 2023 stieg dieser Anteil in den Kantonen Jura (0,27), Obwalden (0,26), Wallis (0,62), Basel-Stadt (0,66) und Neuenburg (0,57), während er im Tessin (0,73 im Jahr 2023) und im Kanton Waadt (0,64) zurückging.
Die beiden Appenzell verzeichnen keine schweren Unfälle
Appenzell Innerrhoden und Appenzell Ausserrhoden zeichnen sich positiv aus, da dort im Jahr 2024 kein schwerer alkoholbedingter Unfall registriert wurde. Die anderen Kantone mit den niedrigsten Raten sind Schaffhausen (0,11), Zürich (0,29), Basel-Landschaft (0,30), Bern (0,34) und Luzern (0,37).
Waadt verzeichnet die meisten Todesfälle
In absoluten Zahlen weist der Kanton Waadt die höchste Zahl tödlicher alkoholbedingter Unfälle auf den Strassen auf, mit insgesamt 5 tödlichen Unfällen. Es folgen Tessin mit 4 tödlichen Unfällen sowie Wallis und Zürich mit jeweils 3 Unfällen. Insgesamt verzeichneten 16 Kantone im Jahr 2024 mindestens einen tödlichen alkoholbedingten Unfall, 7 mehr als 2023, als nur 9 Kantone betroffen waren.
TCS-Tipps
Wer fährt, trinkt keinen Alkohol. Wenn Sie trotzdem Alkohol konsumieren möchten, benutzen Sie die öffentlichen Verkehrsmittel oder bestimmen Sie vor dem Konsum eine Person, die auf Alkohol verzichtet, um die Rückfahrt zu übernehmen. Die Aktion Nez Rouge ist während der Festtage aktiv und bietet ebenfalls eine gute Möglichkeit, sicher nach Hause zu kommen, wenn Sie Alkohol getrunken haben. Kombinieren Sie Alkohol nicht mit Medikamenten oder Drogen. Trinken Sie auch keinen Alkohol, wenn Sie bereits müde, gestresst oder krank sind und dennoch fahren müssen.
Viele Informationen über Alkohol, seine Gefahren und Tipps finden Sie unter:
https://www.tcs.ch/de/testberichte-ratgeber/ratgeber/unfallursachen/alkohol.php
Pressekontakt:
Marco Wölfli, Mediensprecher TCS
Tel. 058 827 34 03 | marco.woelfli@tcs.ch
pressetcs.ch | flickr.com


