Touring Club Schweiz/Suisse/Svizzero - TCS
I trentenni in testa agli incidenti mortali legati all'alcol al volante
Vernier/Ostermundigen (ots)
Nel 2024, l'alcol ha causato 33 incidenti mortali in Svizzera, pari a un aumento del 32% rispetto all'anno precedente. In quasi un terzo di queste tragedie la responsabilità è da ricondurre a persone nella fascia di età dei trent'anni. A livello cantonale, Glarona è il cantone con il maggior numero di incidenti gravi legati all'alcol per 10'000 abitanti. In valori assoluti, il Canton Vaud ha registrato il maggior numero di incidenti mortali. Con l'avvicinarsi delle festività, il TCS ricorda che tra bere e guidare bisogna scegliere.
Nel 2024, le strade svizzere sono state letali: 33 incidenti mortali sono stati attribuiti all'alcol, ovvero il 32% in più rispetto al 2023. I trentenni (30-39 anni) rappresentano la fascia più toccata, e sono responsabili di 9 incidenti mortali, seguiti dai cinquantenni (50-59 anni) coinvolti in 8 incidenti. Le categorie 20-29 anni, 40-49 anni e 60 anni e oltre contano ciascuna 5 incidenti mortali, mentre i minori di 20 anni sono stati responsabili di un solo incidente mortale legato all'alcol. "Con l'avvicinarsi delle feste, ricordiamo che una serata riuscita è una serata che si conclude in sicurezza. Se consumate alcol, lasciate l'auto e prevedete una soluzione di rientro sicura, come un conducente sobrio, i trasporti pubblici o Nez Rouge", ricorda Christophe Nydegger, responsabile della sicurezza stradale al TCS.
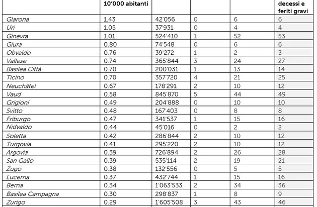
Glarona spodesta Ginevra
Nel 2024, il Canton Glarona ha registrato la maggiore parte di incidenti gravi legati all'alcol, con 1,43 incidenti per 10'000 abitanti, contro 0,48 dell'anno precedente. Uri segue con 1,05 incidenti gravi per 10'000 abitanti, in crescita rispetto a 0,54 nel 2023. Queste variazioni si spiegano in particolare con il fatto che questi cantoni sono poco popolati e quindi un incidente supplementare incide fortemente sulle statistiche.
Ginevra, per tanto tempo in testa alla classifica -sette anni consecutivi - arriva subito dopo, con 1,01 incidenti gravi per 10'000 abitanti. Un livello che rimane molto elevato rispetto alla media nazionale di 0,47, cioè più del doppio.
Subito dietro Ginevra figurano il Giura (0,80), Obvaldo (0,76), il Vallese (0,74), Basilea-Città (0,70), Ticino (0,70), Neuchâtel (0,67) e Vaud (0,58). Rispetto al 2023, questa proporzione è aumentata nei cantoni del Giura (0,27), di Obvaldo (0,26), del Vallese (0,62), di Basilea-Città (0,66) e di Neuchâtel (0,57), mentre è diminuita in Ticino (0,73 nel 2023) e nel Canton Vaud (0,64).
I due Appenzello non registrano incidenti gravi
Appenzello Interno e Appenzello Esterno si distinguono positivamente poiché nel 2024 non è stato registrato alcun incidente grave legato all'alcol. Gli altri cantoni con i tassi più bassi sono Sciaffusa (0,11), Zurigo (0,29), Basilea-Campagna (0,30), Berna (0,34) e Lucerna (0,37).
Vaud registra il maggior numero di decessi
In valori assoluti, il Canton Vaud registra il maggior numero di incidenti mortali legati all'alcol sulle strade, con un totale di 5. Seguono il Ticino con 4 incidenti mortali, poi il Vallese e Zurigo con 3 incidenti. In totale, 16 cantoni hanno registrato almeno un incidente mortale legato all'alcol nel 2024, ovvero 7 in più rispetto al 2023, anno in cui solo 9 cantoni erano interessati.
Consigli del TCS
Se guidate, non bevete alcol. Se desiderate comunque consumare alcol, utilizzate i trasporti pubblici oppure, prima di bere, designate una persona che rinuncerà all'alcol per riportarvi a casa. L'Operazione Nez Rouge è attiva durante le festività di fine anno e rappresenta anch'essa una buona soluzione per rientrare a casa quando si è bevuto alcol. Non combinate alcol con medicinali o droghe. Allo stesso modo, non consumate alcol se siete già stanchi, stressati o malati e dovete mettervi alla guida.
Numerose informazioni sull'alcol, sui suoi rischi e consigli sono disponibili su :
https://www.tcs.ch/it/test-consigli/consigli/cause-incidenti/alcol.php
Contatto:
Laurent Pignot, portavoce del TCS
Tel. 058 827 27 16 | 076 553 82 39 | laurent.pignot@tcs.ch
www.pressetcs.ch | www.flickr.com


